Interface structure and grain growth behavior of Ta4HfC5-Si2BC3N complex ceramic
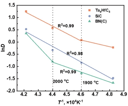
摘要:超高温陶瓷(UHTC) Ta4HfC5因其优异的热物理和热机械性能而成为适用于高超音速飞行器最有前途的候选材料之一. 然而, 较差的烧结能力限制了其潜在的使用. 为了克服该障碍, 采用Si2BC…
摘要:超高温陶瓷(UHTC) Ta4HfC5因其优异的热物理和热机械性能而成为适用于高超音速飞行器最有前途的候选材料之一. 然而, 较差的烧结能力限制了其潜在的使用. 为了克服该障碍, 采用Si2BC…