摘要:本文通过一步反应合成法制备了铌镁-锆钛酸铅(Pb(Mg1/3Nb2/3 )O3-Pb(Zr,Ti)O3 ,PMN-PZT)压电陶瓷,研究了稀土元素钐(Sm)掺杂对 PMN-PZT(x% (摩尔分数)Sm-PMN-PZT)结构与电学性能的影响规律,得到了具有高压电性、高机电耦合系数和高居里温度的压电陶瓷。 当 x = 2. 0 时,压电常数 d33 = 611 pC/ N,机电耦合系数 kp = 0. 68,介电损耗 tan δ = 1. 65% ,相对介电常数 εr = 2 650,居里温度 TC = 283 ℃ 。 测试压电陶瓷电致应变性能,在3 kV/mm下单极电致应变达到 0. 20% ,显示出其大应变材料的特征。结果表明,Sm 掺杂 PMN-PZT 压电陶瓷具有优异的综合电学性能,有望在换能器、传感器以及致动器等领域广泛应用。
关键词:PMN-PZT 压电陶瓷; 稀土元素掺杂; 压电性能; 机电耦合系数; 居里温度; 大应变
0 引 言
锆钛酸铅(PZT)是一种具有高压电性的功能陶瓷,作为换能器、传感器以及致动器等精密设备的核心材料,在医疗、工业、测距、传感等领域有着广泛的应用[1-3]。 然而随着电子工业的飞速进步与对极端应用环境的不断挑战,对压电陶瓷材料也提出了更高的要求。 其中,以 Pb(Mg1/3Nb2/3)O3 (PMN)为代表的弛豫铁电体[4],具有比 PZT 更高的压电性能,其弛豫特性也引起了科研工作者的广泛关注。 PMN-PbTiO3 (PMN-PT)压电单晶具有超高压电性能[5-6],使更多如 PMN-PT 系列的压电陶瓷材料的研究得到拓展,以期获得高压电性能的同时降低生产成本[7-11]。
(1 - x)PMN-xPT 固溶体,在 x≤0. 15 时为一种典型的弛豫铁电体,而在 x≥0. 40 时为正常铁电体;当0. 30≤x≤0. 40 时具有多相共存的准同型相界(morphotropic phase boundary, MPB),在室温下表现出极高的压电常数 d33与机电耦合系数 kp 。 然而,在形成 MPB 的同时,也严重降低了其居里温度 TC 和相转变温度,限制其应用温度范围[10]。 因此,开发出高 d33与高 TC 共存的压电陶瓷具有重要的工程实践意义。 PbZrO3 (PZ)具有较高的居里温度(TC = 230 ℃ ),Wen 等[12] 通过引入 PZ,在 0. 62PMN-0. 38Pb(Zr0. 4 Ti0. 6 ) O3 中构建四方-赝立方共存的 MPB,d33达 661 pC/N,TC 达 230 ℃ 。 稀土元素对 PZT 陶瓷的掺杂改性,使 PZT 陶瓷具有优异的压电性能,如镧(La)掺杂 PZT,获得具有高压电性能的 PZT-5H 等[13]。稀土元素 Sm 同为镧系元素,近年来在铅基压电陶瓷改性研究方面也得到了广泛关注[14-17]。Li 等[14]发现 Sm 掺杂在 0. 71PMN-0. 29PT 中获得了 MPB,得到了具有超高压电性的压电陶瓷组分,d33高达 1 500 pC/N。 Guo 等[15]研究 2. 5% (摩尔分数)Sm 掺杂 0. 40PMN-0. 6PZT,在 MPB 相界内得到了优异的压电性能,d33高达 910 pC/N,TC 提升至 184 ℃ ,具有一定的应用前景,也为后续相关工作的开展提供了理论基础。
在工业生产中,配料过程的繁复将导致生产效率降低,并影响产品性能的一致性。 然而,在一般 PMN-PT基压电陶瓷的研究方法中,通常采用两步合成法,先合成 MgNb2O6 前驱体,再合成具有钙钛矿相的粉体,防止烧结过程中杂相的产生,一次固相反应合成法则很少提及。 因此,本文采用一步固相反应合成法,制备x% (摩尔分数,下同)Sm 掺杂 PMN-PZT 压电陶瓷,研究该体系结构与微观形貌、电学特征以及电致应变响应,不仅具有一定的理论价值,更具有一定的工程实践意义。
1 实 验
1. 1 样品的制备
采用一步反应合成法制备 Pb1-x% Smx% [(Mg1/3Nb2/3)0. 15Zr0. 43Ti0. 42 ]O3 (x% Sm-PMN-PZT),其中 x = 0 ~ 3. 0。选择工业级化工原料 Pb3O4 、MgO、Nb2O5 、TiO2 、ZrO2 和 Sm2O3 等,通过化学计量法称取配料后球磨混合 4 h,烘干后在 860 ℃下煅烧 2 h。 破碎后再次球磨 6 h,烘干的粉末增塑处理后,成型为 ϕ25 mm × 2. 5 mm 的坯件。 经 700 ℃排塑后,将坯件堆叠放置,在 1 280 ~ 1 320 ℃ 下烧结 2 h,将烧结得到的陶瓷加工成尺寸为ϕ20 mm × 1. 0 mm 的样品。
1. 2 表征方法与测试手段
首先,采用 X 射线衍射分析仪测试陶瓷样品的晶体结构,利用扫描电镜分析样品断面的微观形貌特征。随后,将样品被银后,在 130 ℃硅油浴中施以 3. 0 kV 电压保持 15 min,随后将硅油浴内吹冷至 60 ℃以下,使样品充分极化。 采用中科院声学研究所研制的 ZJ-3A 型准静态压电常数测试仪测量压电常数 d33 ;采用德国的 TF Analysis 3000 精密铁电参数测试仪测试陶瓷样品的 P-E 电滞回线;使用美国 Agilent 公司生产的4294A 型精密阻抗分析仪在 1 kHz 下测量陶瓷样品的自由电容 Cp 、介电损耗 tan δ、谐振频率 fr 以及反谐振频率 fa,通过公式(1)可以得到样品的机电耦合系数 kp ;通过介电温谱测试系统测试样品的相对介电常数-温度(εr-T)曲线,并根据结果分析该系列样品的弛豫特性;此外,采用多普勒激光干涉仪测量样品的单极电致应变曲线。

2 结果与讨论
2. 1 微观形貌与晶体结构
图 1 为在 1 300 ℃烧结得到的 x% Sm 掺杂 PMN-PZT 压电陶瓷的 XRD 谱。 由图 1(a)可以看出,当 x≤2. 0时,样品均具有单一的钙钛矿结构。 采用一步固相反应合成法,并没有检测到常规制备过程中的焦绿石相。这表明,通过合理控制预烧温度及烧结温度,可以有效避免杂相的产生。 放大 42. 5° ~ 45. 5°范围内的衍射峰,如图 1(b)所示。 根据一般钙钛矿相结构以及相结构的演变规律[16],可以看出:当 x = 0 时,峰(200)为尖锐的单一峰,即未经掺杂的 PMN-PZT 陶瓷为三方相(R)结构;随着 x 不断增加,峰(200)逐渐宽化并且劈裂为(002) / (200)双峰结构;当 x = 3. 0 时,陶瓷为四方相(T),此外,x = 3. 0 的样品在 30°附近存在杂峰,表明当 Sm 掺杂量超过一定程度时,会产生第二相。 根据相变的连续性可以判断,在 x = 1. 5 ~ 2. 5 时具有R-T 共存的 MPB,这预示着在该范围内具有最佳的压电响应。

图 1 (a)x% Sm 掺杂 PMN-PZT 压电陶瓷的 XRD 谱;(b)在 42. 5° ~ 45. 5°范围的衍射峰放大图
在 1 300 ℃下烧结得到的陶瓷经 1 120 ℃热腐蚀处理 30 min 后,观察其断面的微观形貌特征。 图 2 为x% Sm 掺杂 PMN-PZT 压电陶瓷的断面 SEM 照片。 可以看出,当 x = 0 时,未经掺杂的 PMN-PZT 陶瓷晶粒尺寸为 10 ~ 20 μm,且存在一定的气孔,致密度较差。 随着 x 的增加,当 x = 1. 0 时,晶粒尺寸下降至 3 ~ 6 μm,晶粒尺寸逐渐减小,且晶粒大小变得均匀,气孔率降低。 当 x = 2. 0 ~ 3. 0 时,晶粒尺寸下降至 2 ~ 3 μm,晶粒尺寸均匀,这表明 Sm 掺杂进入晶格之中,能显著抑制晶粒的非正常生长,改善 PMN-PZT 陶瓷的烧结性能。此外,由于晶粒尺寸的降低与晶粒的紧密堆积有利于提高陶瓷的抗折强度,陶瓷更加适用于高频换能器以及致动器等领域。 然而,当 x = 3. 0 时,如图 2(d)所示,部分晶粒周围存在碎片状杂质,结合 XRD 分析,可能是由于第二相物质产生。 SEM 与 XRD 结果表明,当 x≥3. 0 时,过量的 Sm 导致晶体结构与晶粒形貌改变,在一定程度上会恶化压电陶瓷的电学性能。

图 2 x% Sm 掺杂 PMN-PZT 压电陶瓷的断面 SEM 照片
2. 2 介电性能
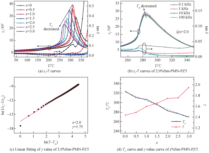
居里温度 TC 对于压电陶瓷应用而言至关重要,为了确保压电陶瓷元件使用过程的稳定性,一般要求其应用临界温度值≤0. 5TC 。 因此,高的 TC 能够适用于更加复杂的使用环境。 x% Sm 掺杂 PMN-PZT 压电陶瓷的介电与弛豫性能如图 3 所示。 图 3(a)为 x% Sm 掺杂 PMN-PZT 压电陶瓷的 εr-T 曲线。 可以看出,随着 x的增加,TC 不断降低。 当 x = 3. 0 时,TC = 270 ℃ 。 根据数据拟合,TC 的下降速率为 - 18 ℃ / 1. 0% Sm。 此外,由图 3(b)可以看出,2. 0% Sm-PMN-PZT 陶瓷具有介电弛豫现象,其 εr-T 曲线随频率的变化存在弥散性相变与频率色散行为,Tm (不同频率下对应的 TC 值)随着频率增加不断向低温方向移动。 为了表征该体系的介电弛豫行为,采用修正的居里-外斯定律(modified Curie-Weiss law)对其曲线拟合[9],如公式(2)所示:

式中:εm 为居里温度点对应的介电常数最大值;C 为常数;γ = 1 ~ 2,表示陶瓷的弛豫程度,当 γ = 1 时,为正常铁电体,弛豫程度随着 γ 值的不断增加而增加,当 γ = 2 时,为弛豫铁电体。 由图 3(c)可以看出,当 x = 2. 0时,γ = 1. 75。 由图 3(d)可以看出,随着 x 的不断增加,γ 不断增加,表明 Sm 掺杂导致 PMN-PZT 压电陶瓷的弛豫特性不断增强。 当 x = 3. 0 时,γ = 1. 95,接近于弛豫铁电体。 由于弛豫特性的存在,陶瓷的微观电畴结构中存在极性纳米微区,有利于压电性的增强[9]。

图 3 x% Sm 掺杂 PMN-PZT 压电陶瓷的介电与弛豫性能
2. 3 压电性能
压电性能是衡量压电陶瓷电学性能的基本参数,图 4 为 x% Sm 掺杂 PMN-PZT 压电陶瓷的综合压电性能。 可以看出,随着 x 的不断增加,εr、d33与 kp 均呈现先增加后减小的趋势,而 tan δ 则基本相同。 当 x = 2. 0时,该系列的压电陶瓷具有最佳的压电性能,此时 d33 = 611 pC/N,kp = 0. 68,tan δ = 1. 65% ,εr = 2 650。 压电性能的提高主要由两方面促成:其一,随着 x 的不断增加,在 x = 1. 5 ~ 2. 5 时具有 R-T 共存的 MPB,根据朗道自由能理论,在 MPB 范围内具有最低的自由能,促进了畴壁运动与电畴翻转[14];其二,Sm 掺杂量的增加使PMN-PZT 陶瓷逐渐转变为弛豫铁电体,陶瓷的微观电畴结构中极性纳米微区增加,导致压电陶瓷的压电活性增强[15]。

图 4 x% Sm 掺杂 PMN-PZT 压电陶瓷的综合压电性能
表 1 列出了本文与其他铅基陶瓷的电学性能对比。 两步合成法制备的 PMN-PZT 和 PMN-PT 陶瓷具有优异的压电性能,其高性能的来源得益于 PMN 占比的增加导致弛豫性的增强或者 MPB 的构建,这同样牺牲了高 TC 。 本文中,采用一步反应合成法制备的 Sm 掺杂 PMN-PZT 不仅具有高压电性能,同时 TC 达 283 ℃ ,可以实现在更宽温度范围内的应用。
表 1 本文与其他铅基陶瓷电学性能对比

2. 4 铁电性能
图 5(a)为 x% Sm 掺杂 PMN-PZT 压电陶瓷极化后的电滞回线(P-E loop)。 可以看出,在 3 kV/ mm 的电场下,PMN-PZT 压电陶瓷具有饱和的 P-E 回线,Sm 的引入极大地提高了 PMN-PZT 陶瓷的剩余极化值 Pr。由图 5(b)可以看出,随着 x 的增加,矫顽场 EC 不断增加,而 Pr 先增加后减小,当 x = 1. 0 时具有最大的 Pr值,此时 Pr = 41. 91 μC / cm²。 这是由于在 R-T 共存相界范围内,电畴的翻转具有更多的极化取向,其中 R 具有 8 个 极化取向,而 T 具有 6 个 极化取向,两部分的互相重叠导致具有更大的 Pr 值[15]。随着 x 的继续增加,陶瓷逐渐变为单一的 T 结构,Pr 值也随之下降。 根据经验公式 d33 = 2αPr·εr,其中,α 为常数。 可以看出,d33跟 Pr·εr 成正比。 由图 5(c)看出,随着 x 的增加,Pr 与 εr 不断增加,Pr·εr 不断增加,d33也随之增加。 当 x≥1. 5 时,Pr 逐渐减小,而 εr 不断增加,导致 Pr·εr 在 x = 2. 0 时达到最大值,此时与 d33达到最大值时相对应。 当 x≥2. 5 时,Pr 逐渐减小,Pr·εr 不断减小,d33也随之减小。

图 5 x% Sm 掺杂 PMN-PZT 压电陶瓷的综合铁电性能
2. 5 电致应变性能
在致动器领域,压电陶瓷的电致应变特性可以将电能通过形变的方式转换成机械能。 压电驱动器等应用一般采用单极施压方式,电场强度的大小决定元器件的应变输出。 多层结构压电驱动器,通过将几十至上百层极化后的陶瓷薄片堆叠,薄片厚度为 50 ~ 500 μm,利用纵向伸缩实现位移变化。 通过电极结构设计,使驱动器在力学串联、电路并联,实现在低驱动电压(10 ~ 200 V)下即可输出高位移量。 本文采用单极施加电压方式,测试陶瓷样品的电致应变性能。 图 6 为 x% Sm 掺杂 PMN-PZT 压电陶瓷极化后在 3 kV/ mm 下的单极应变曲线。 可以看出,x% Sm-PMN-PZT 陶瓷的单极电致应变与 d33变化趋势相同。 由于具有 R-T 共存的MPB,在多相共存状态下铁电畴的翻转效率得到显著提升,并在 x = 2. 0 时达到最大值,应变量达到 0. 20% ,高于目前压电陶瓷致动器的主流研究水平(≤0. 18% )[9,16,18]。

图 6 x% Sm 掺杂 PMN-PZT 压电陶瓷的单极应变曲线
3 结 论
本文采用一步反应合成法,制备 x% Sm-PMN-PZT 压电陶瓷,综合分析了微观形貌、晶体结构与电学性能。由于 Sm 的引入,TC 不断降低,弛豫特性不断增强;在 x = 1. 0 ~ 2. 5 时,具有 R-T 共存的 MPB。 在 x = 2. 0 时具有最佳的电学性能,此时 d33 = 611 pC / N,kp = 0. 68,电致应变量达 0. 20% (@ 3 kV/ mm)。 然而当 x≥3. 0 时,由于相结构逐渐由 R-T 共存向 T 转变,并且出现第二相,压电性能下降。 结果表明,2. 0% Sm-PMN-PZT 压电陶瓷具有优异的综合压电性能与电致应变特性,在换能器、传感器与致动器等领域具有广泛的应用前景。
参 考 文 献
[1] CROSS L E, NEWNHAM R E. History of ferroelectrics[J]. Ceramics and Civilization, 1987: 289-305.
[2] DAMJANOVIC D. Ferroelectric, dielectric and piezoelectric properties of ferroelectric thin films and ceramics [ J]. Reports on Progress in Physics, 1998, 61(9): 1267-1324.
[3] ZHANG S J, LI F, JIANG X N, et al. Advantages and challenges of relaxor-PbTiO3 ferroelectric crystals for electroacoustic transducers: a review[J].Progress in Materials Science, 2015, 68: 1-66.
[4] SMOLENSKY G, ISUPOV V, GRANOVSKAYA A, et al. New ferroelectrics of complex composition[J]. Journal of Applied Physics, 1954, 25(6): 809-810.
[5] PARK S E, SHROUT T R. Ultrahigh strain and piezoelectric behavior in relaxor based ferroelectric single crystals[ J]. Journal of Applied Physics, 1997, 82(4): 1804-1811.
[6] LI F, CABRAL M J, XU B, et al. Giant piezoelectricity of Sm-doped Pb( Mg1/3 Nb2/3 ) O3-PbTiO3 single crystals[ J]. Science, 2019, 364(6437): 264-268.
[7] TOPOLOV V Y, YE Z G. Coexistence of morphotropic phases in (1 - x)Pb(Mg1/3 Nb2/3 )O3-xPbTiO3 solid solutions[ J]. Physical Review B,2004, 70(9): 094113.
[8] 贾甜甜,蔡长龙. 稀土掺杂 Pb(Mg1/3 Nb2/3 )O3-PbTiO3 压电陶瓷的烧结特性研究[J]. 人工晶体学报,2019,48(11):2123-2129 + 2145.
[9] ZHANG J, WANG R X, SUN L, et al. Structural and electrical properties of ZnO-modified (1 - x)Pb(Mg1/3 Nb2/3)O3-xPbTiO3 ceramics with wide MPB regions[J]. Journal of the American Ceramic Society, 2019, 102(4): 1866-1874.
[10] KELLY J, LEONARD M, TANTIGATE C, et al. Effect of composition on the electromechanical properties of (1 - x)Pb(Mg1/3 Nb2/3)O3-xPbTiO3 ceramics[J]. Journal of the American Ceramic Society, 2005, 80(4): 957-964.
[11] KALEM V, SHIH W Y, SHIH W H. Dielectric and piezoelectric properties of PMN-PT ceramics doped with strontium [ J ]. Ceramics International, 2018, 44(3): 2835-2842.
[12] WEN K, QIU J H, JI H L, et al. Investigation of phase diagram and electrical properties of xPb(Mg1/3 Nb2/3)O3-(1-x) Pb( Zr0. 4 Ti0. 6 )O3 ceramics[J]. Journal of Materials Science: Materials in Electronics, 2014, 25(7): 3003-3009.
[13] KUMAR A, PRASAD V V B, RAJU K C J, et al. Effect of lanthanum substitution on the structural, dielectric, ferroelectric and piezoelectric properties of mechanically activated PZT electroceramics[J]. Defence Science Journal, 2016, 66(4): 360-367.
[14] LI F, LIN D, CHEN Z, et al. Ultrahigh piezoelectricity in ferroelectric ceramics by design[J]. Nature Materials, 2018, 17: 349-354.
[15] GUO Q H, LI F, XIA F Q, et al. High-performance Sm-doped Pb(Mg1/3 Nb2/3 ) O3-PbZrO3-PbTiO3-based piezoceramics[ J]. ACS Applied Materials & Interfaces, 2019, 11(46): 43359-43367.
[16] GAO B, YAO Z H, LAI D Y, et al. Unexpectedly high piezoelectric response in Sm-doped PZT ceramics beyond the morphotropic phase boundary region[J]. Journal of Alloys and Compounds, 2020, 836: 155474.
[17] GUO J, TONG B B, JIAN J, et al. Enhanced transduction coefficient in piezoelectric PZT ceramics by mixing powders calcined at different temperatures[J]. Journal of the European Ceramic Society, 2020, 40(8): 3348-3353.
[18] BROVA M J, WATSON B H III, WALTON R L, et al. Relationship between composition and electromechanical properties of CuO-doped textured PYN-PMN-PT ceramics[J]. Journal of the European Ceramic Society, 2021, 41(2): 1230-1235
声明:本文由 CERADIR 先进陶瓷在线平台的入驻企业/个人提供或自网络获取,文章内容仅代表作者本人,不代表本网站及 CERADIR 立场,本站不对文章内容真实性、准确性等负责,尤其不对文中产品有关功能性、效果等提供担保。本站提醒读者,文章仅供学习参考,不构成任何投资及应用建议。如需转载,请联系原作者。如涉及作品内容、版权和其它问题,请与我们联系,我们将在第一时间处理!本站拥有对此声明的最终解释权。



